FrontPage

MultiMuon Alignment sample Residual

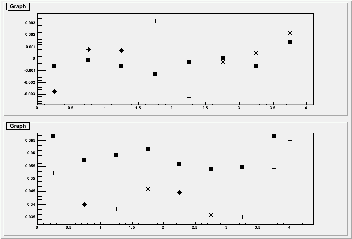
multi-muon sampleの残差のサイド依存を調べた。運動量を10GeV以下、20GeV以下、30GeV以下、30GeV以上にわけて、サイドはそのままプロットした。ということは外側内側の順になっている。残差最後の点はスケールのためのダミー。下段が残差、上段が平均。

multiMuSide01.jpg

12.0.6 でモンテカルロ

SimとDigでIOVRecExCommon.pyをIOVRecExCommissionMC.pyに変更する。Recでは以下のエラー。

InDetAlign_Cosmic_LocalChi2_1 does NOT exist

AlignRead を FalseにしてOK。

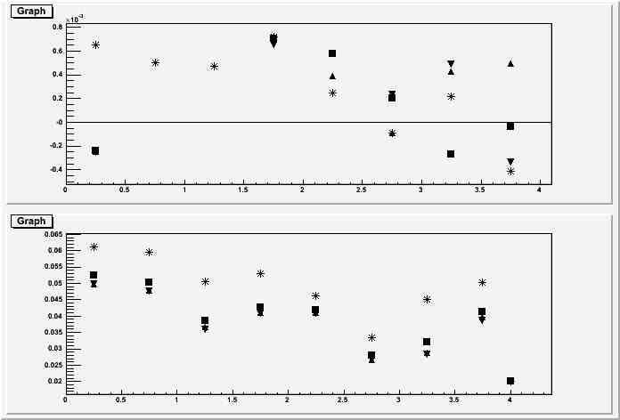
compMeanResidu.png

四角がLocal Alignmentのデータで星がモンテカルロ。傾向はあっている。

Cosmic pit simulation

pit simulation is in 12.5.0

cmt co -r InDetCosmicRecExample-00-02-04 InnerDetector/InDetExample/InDetCosmicRecExample
cmt co -r SiClusterizationTool-02-15-00  InnerDetector/InDetRecTools/SiClusterizationTool
scp lxplus.cern.ch:~xxx/public/12.5.0_files/SCT_ClusteringTool.cxx .
gmake
but error : -leformat not found

looks like tdaq package is searched but no libeformat.so

    /afs/cern.ch/atlas/project/tdaq/DataFlow/releases/tdaq-common/tdaq-common-01-04-00_09

need copy binarys from this one.

このSiClusterizationToolにgenConfというDirectoryがあるがこの中のpythonファイルは自動生成されたもの。

sw/lcg/app/releases/CORAL/CORAL_1_6_2 is refered but kit has 1_6_3 only

rsync -avz -e ssh xxx@lxplus.cern.ch:/afs/cern.ch/sw/lcg/app/releases/CORAL/CORAL_1_6_2/slc4_ia32_gcc34 .

やはりdevelopment version のkitはいまいち。genConfのスクリプトができてない。 lxplusではやはり何の問題もない。 kitはInnerDetector/InDetCosmics/TRT_SegmentsToTrackに問題がある。これについては2月28日の書き込みでOK.以下のページは、イベント生成の参考になる。

https://twiki.cern.ch/twiki/bin/view/Atlas/CosmicSimulation

export DATAPATH=${DATAPATH}:/atlas/12.5.0/DBRelease/3.2.1
ln -s /atlas/12.5.0/DBRelease/3.2.1/sqlite130/
ln -s /atlas/12.5.0/DBRelease/3.2.1/geomDB
athena jobOptions.G4Cosmic.py
athena mytopDigiOptions.py Digitization/AtlasDigitization.py
ttl1maker1   ERROR  cannot open HEC file
cmt co -r LArCondUtils-00-01-07 LArCalorimeter/LArCondUtils
checked out LArCondUtils, but also CORAL problem persists. This kit is skrewed up.
OK after rsync the 1.6.2 coral include

kitでreconstructionまで行ったが、JiveXMLをみるとトラックが見えない。CosmicGeneratorは粒子を地上から600mx600mの四方から打ち出すので余りID測定器に入らないようだ。

Newsに以下のの処方が載った。

Please do from where you installed the 12.5.0 kit
pacman -get am-BNL:CORAL_1_6_2_i686_slc4_gcc34_opt
(or
pacman -get am-BNL:CORAL_1_6_2_x86_64_slc4_gcc34_opt
depending on which slc4 kit you use)
Also, modifiy
macro CORAL_native_version "CORAL_1_6_3"
to be
macro CORAL_native_version "CORAL_1_6_2"
in
LCGCMT/LCGCMT_48/LCG_Interfaces/CORAL/cmt/requirements

元が1_6_2なので、これを変えない場合は、ライブラリとincludeを持ってくるのがよさそう。エラーが出たら、LD_LIBRARY_PATHに足したりする。最悪InstallAreaにSymLinkを作る。

DAQ documents

https://twiki.cern.ch/twiki/bin/view/Main/AtlasSiliconRodGroup

12.0.3のSCT_Digitizationは初期パラメータがミス

diff SCT_Digitization_jobOptions.py 12.0.3Dir/SCT_Digitization_jobOptions.py
< SCT_Digitization.Ospread = 680.0
< SCT_Digitization.OffsetGainCorrelation = -0.60
---
> SCT_Digitization.Ospread = 0.0001
> SCT_Digitization.OffsetGainCorrelation = 0.00001

アンプのパラメータが0に近い奇妙な数字だった。12.0.4とくらべて。cxxとhはおなじ。

SCT_DigitizationのConditionDBの読み込みチェック

MessageSvc = Service( "MessageSvc" )
MessageSvc.setDebug += [ "SCT_Digitization" ]

をDigitization_topOptions.pyに入れて、logをみる。

Full Simulationでテスト

cd InDetRecExample
mkdir cmthome
export LANG=C
source /afs/cern.ch/12.0.4/cmtsite/setup.sh -tag=12.0.4
vi requirements
 set CMTSITE STANDALONE
 set SITEROOT /afs/cern.ch/12.0.4
 macro ATLAS_DIST_AREA ${SITEROOT}
 macro ATLAS_TEST_AREA ${HOME}/InDetRecExample/12.0.4
 use AtlasLogin AtlasLogin-* $(ATLAS_DIST_AREA)
cmt config
. setup.sh -tag=12.0.4
mkdir softwarechain
cd softwarechain
ls $SITEROOT/AtlasSimulation/2.0.4/Simulation/G4Atlas/G4AtlasApps/share
get_files test_ATLAS-evgen.minbias_01.py
ls ${SITEROOT}/atlas/offline/data/testfile/
vi test_ATLAS-evgen.minbias_01.py
copy caster file
   ssh lxplus.cern.ch "rfcat $1" > tempFile;date
athena test_ATLAS-evgen.minbias_01.py

として、ミニマムバイアスでイベントの作成をやろうとしている。 Batley氏からもらったAnalysisが動かなかったので、山下くんのInDetSoftwareTutorialでミニマムバイアスのプロットを作成した。赤が宇宙線データ、黒がそのMC、青がFull simulation.

overlap3.png

MC digitization

run on 12.0.3. sqlite130はuser/a/atlcond/coolrep/sqlite130のものでないとだめ。

ERROR Factory for tool SCT_IDMapping not found

なんですかこれは。バイトストリームではOKなのに。Batley氏のAnalysisプログラムのところ。

上の問題はInDetCabling をDLLとしてロードしているのがバイトストリームのpythonスクリプトであることによる。MyAnalysisパッケージを呼ぶ前に直接その部分を記入した。

Doxygen link

doxygen link

12.0.3 のローカルでSCT_Digitization compile と run

コンパイルするときはSiDigitizationもコンパイルしておかないとヘッダーが無いと言われる。OutofBoxだとOFLP130を見に行くので、Simulation/Digitizationをチェックアウトして、RecExCommon.pyをRecExCommissioning.pyにかえる。/InDet/Alignの指しているファイルはkit/DBRelease/2.8/poolcond/PoolCat_comcond.xmlにあるのでそのふたつのファイルをpool_insertFileCatalogしておく。

IOVファイルにはPoolCatalogのFile IDが記入されている。この番号のファイルをPOOL_CATALOGに書いてあるxmlファイルのリストから探すらしい。

しかし

SCT_ModuleConditionsTool::fillModuleData has been triggered by: /SCT/modules

とでてseg faultする。

その後、山下君のアイデアでRecExCommissioning.pyをRecExCommissioningMC.pyにするとCMCP130.dbを見るようになり、OKとなる。このへんはWikiにモンテカルロはCMCP130.dbを使うといっているとおり。

Calibrationの基本概念

Binary読み出しABCD3Tチップは、preamp部の電荷収集部の微小容量に並列に抵抗が入っている。これで、信号電荷集積をスイッチで落とす必要がなく、ノイズが少なくなる。昔からあるテクニック。キャリブレーションの収集電荷量を出すためには、テスト電荷インジェクションの量を見積もる。これはテスト電圧をスイッチングでテスト容量を通じて入力するので、スイッチング電位差とテスト容量を計測しておけばよい。UCサンタクルズにSSC関係で昔いったときにやっていた。

12.0.3はlocalでcosmicもOK

最初に12.0.3が動かなかったのはDBRleaseのsqlite130/COMP130のコピーを失敗していたから。何で失敗したかは不明。12.0.3でconditionも使うようになったという話もあるので12.0.2から移ることにする。Batley氏のAnalysisを動かしてみた。他のモニターを全てFalseにしないとTHistSvcがぶつかるのでよくない。次の図はSR1のrun3007。Tracks/TSoS/p1251を表示した。

kit 12.0.2 monitor

monitor offだと3007で最後まで行くが、onだと1400ぐらいでseg fault. kitもpcatsij01もおなじ。 monitorはFlagでTRT = Falseで動くが、efficiencyのプロットはだめ。helenのモニターは正常に動いた。atx13:~/cosmicAlign/12.0.2で動かした。

athena12.0.1で
~hhayward/public/12.0.1/SCTOfflineMonitor/SCTOfflineMonitor-00-00-04
をじぶんのdirectoryにコピーしてきて、コンパイルする。

cp /SCTOfflineMonitor/SCTOfflineMonitor-00-00-04/share/*.py 
InnerDetector/InDetExample/InDetCosmicRecExample/run/
でコピーする。

athena ../share/InDetCosmicRec_topOptions.py HitEffTool.py >! test.log &
HitEffTool.pyを噛ませて走らせる。

すると、アウトプットにSCT_efficiency_test.rootができているはずです。これ
がアウトプット。
プロット表示用のマクロとして、*.C が用意されているので、例えば、
root -l HitEfficiency.C++

を実行してやると、HPに乗せたようなプロットを出力できます。
永井

ピットに降ろし、ソレノイドのなかに入れる作業の写真

http://perneg.nerim.net/work/ID-Barrel-Installation/html/

cluster validation

8月8日のoffline commissioningの発表が終わったので、短期にできるcluster validationをやる。pcatsj01のcosmicRun/12.0.0でRefit=TrueでRefitAlgが起動したので次はmutihitをはずすコードをRefitAlgに入れてみる。できたらInDetSoftwareTutorialでRRefitted_Trackをわたせば、よいが、まだいろいろ工夫が要るかも。

2004 CTB 電子回路の写真

VMEクレートの裏側がBack Of Crateと呼ばれていて、ReadOut Driverに直接つながっている。下側8つのファイバーバンドルが読み出し基本単位でMinimum Unit of Readoutとよばれている。つまり1個のRODで48個のモジュールが読まれている。

http://natsci.kyokyo-u.ac.jp/~takasima/picture/zpCTB2004-8/

Cosmic解析宿泊先Hotel

http://www.citea.com/residentiel/fr/index.asp

SCTの効率をモニターした結果のファイル

cosmicSR1phi.png
efficL0S0.gif
efficL1S0.gif
efficL2S0.gif
efficL3S0.gif

Trim Target や RC(レスポンスカーブ) フィットに付いて

結局、この内容はわからない。ただチップの個別の未知パラメータの重要なものは個別チャネルのアンプゲイン。これを個別チャンネルDACに換算係数(Trim)に組み込んで、単一の電荷換算閾値で制御できるようにするのが基本概念。 ゲインはそろえるようにしているはずなので、ノイズオキュパンシィ(NO)は基本的にはガウス分布になる。RCフィットでNOがガウス分布に近付いたのはよい傾向と言える。

最後に、動作閾値をロードした後、RCカーブを作成(テスト電荷インジョクションスキャン)し、レスポンスが動作閾値に一致することを確認することが重要。

fileabcd3t_spec.pdf
fileABCDA3.pdf
TrimRC2.jpg

12.0.0のCOOLアクセスのDefaultがsqliteになった

おかげでジョブは走らない。11.4.0のときはoracleだった。lxplusでもだめ。なんでLD_LIBRARY_PATHがまともでないのかわかりません。->lxplusではcheck out をやり直すとOKになった。AtlantisでTrackを表示させるにはCutsタブのチェックを全て外すとよい。まともそうなトラックのほかに、点のないところを引くトラックがある。TRTはCabling-00-00-82でもボトムセクターで問題がありそう。12.0.0のatlantis.jarは以下のもの。

fileJive3007.tar.gz
fileatlantis.jar

便利なモニターログは下にある。

https://uimon.cern.ch/twiki/bin/view/Atlas/MonitoringLogbook

atlantis phi-modulated eta plot

 

http://www.icepp.s.u-tokyo.ac.jp/~sakamoto/research/atlas/computing/data_challenge/tutorials/EventDisplay.html

6/16 BAC meeting多分Barrel,endcap A,C meeingの略

http://agenda.cern.ch/fullAgenda.php?ida=a062959

リングベルク会議

http://wwwatlas.mppmu.mpg.de/~sct/Ringberg2006/index.html

http://natsci.kyokyo-u.ac.jp/~takasima/picture/zringberg06/index.html

ドイツ語が読めるように努力すれば40ユーロのホテルは予約できる。

http://www.hrs.de

検出効率とTrackクラス

TrackクラスはTracking Geometryを使って測定器の中をトレースしていく。検出効率は TrackStateOnSurfaceオブジェクトを見て、

const Trk::RIO_OnTrack* hitOnTrack = dynamic_cast <const Trk::RIO_OnTrack*>((*tsos)->measurementOnTrack());
if (hitOnTrack != 0) {

のような形で調べることができると考えられる。InDetSoftwareTutorial.cxxのコードの中に例がある。でもHelenやLucaのモニターも同じことをしているはず。

Atlantis JiveXML Files

2006/6/8 SCT TRT Cosmic 100 events

fileSCTTRTtopBottom.tar.gz

SR1宇宙線テストコミッショニング会議

http://agenda.cern.ch/fullAgenda.php?ida=a062613

SCT log pointer

http://pcphsctr02.cern.ch/cgi-bin/logbook.cgi?locn=SR1&tselected=0&physics=1&logbookIndex=11

kit 11.4.0でcosmic

Sim, Dig, Recともに動いた。ただしRecのdefaultはTRTの実データ解析となっている。flagとtopOptionをrunにコピーして、topOptionはflagファイルをrunのものを読むようにする。(パッケージ名をとる)flagファイルはdoSim=Trueにする。

TRTとのコンバインドRUN2015のJiveXMLファイル132イベント分のtar.gzとlzhファイル。lzhファイルはJiveXML/JiveXML_2015*となっているのでどこであけてもOK。

fileJiveXML.tar.gz
fileJiveXML.lzh

InDetAlignDBToolを使ってLevel2で測定器をずらす

Athena11.2.0でInDetRecExampleでalignjobOptions.pyを使ってずれのrootファイルを作成した。 InDetCosmicRecExampleでHepVisViewerを動かして表示させた。ずれを作ったのは大学のatx7で表示させたのはpcutop12。

level2.jpg

SR1 訪問写真

http://homepage.mac.com/reisaburo/PhotoAlbum4.html

アラインメントについて

filealignmentPolicy.ppt
fileresidual80umBl2.eps
fileresidualNoDisp.eps
cosmicHit.jpg

ByteStreamCnv

InnerDetector/ InDetEventCnv/ InDetRawDataByteStreamCnv/がプログラムの場所。

fileByteStreamCnv_14_12_05.pdf

リレーショナル・データベースについて

例えば大企業の従業員名簿があるとします。名簿表.名前、名簿表.営業所という名簿表これは大きい表です。ところが営業所情報.営業所、営業所情報.電話番号の営業所情報の表は小さい表です。大阪営業所の山田花子さんに電話したくなったので以下のSQL文を実行するわけですが、この方が表のサイズが小さくてすむわけです。「これならわかるOracle超入門」SHOEISHA

SQL>select 名簿表.名前,名簿表.営業所,営業所情報.営業所,営業所情報.営業
from 名簿表,営業所情報 where 名簿表.営業所 = 営業所情報.営業所 and 名簿表.名前 = 山田花子

C++からオラクルのコマンドを実行できる関数群があり、それをRAL(Relational Access Layer)と呼んでいる。

OracleのジオメトリーDBを使った演習

CERNの計算機ならOK?
source /usr/local/lib/hepix/oracle_env.csh
sqlplus atlasdd_reader@atlas_dd
パスわーどはDatabase/AthenaPOOL/RDBAccessSvcをみる
select * from atlasdd.SCTG_DATA
上の文はschema atlasddのテーブルSCTG_DATAのすべてのフィールドの表示
exit

Shaun RoeのメールにあるLCGのページのCOOLの例題のをやってみた。この例題もLCGの管理の下のサーバーのアカウントがないとできないらしい。メールでアカウントを要求中。ジオメトリーデータをオラクルのsqlコマンドで読めないか試してみた。井上君が MySQLのデータベース名がオラクルのスキーマというのに対応しているとするとどのようにオラクルで指定するのかを調べてくれたので、sqlコマンドを使って読めた。くわしくはここ。DAQのプログラムで、XMLのファイルを使ったり作ったりする。それをConditionDBに入れるやり方をShaunが作ったようだ。このRAL拡張版が必要だが、それはすでにLCGの例題にある。ただし動かすときはCMTでなくSCRAMを使う。これをAthenaに移植してほしいようだ。

11.2.0の残差計算プログラム

美馬君のページにもあるように以下のようにReconstructionをセットアップします。

cd xxx/11.2.0
. setup.sh -tag=opt
cmt co -r InDetCosmicRecExample-00-00-27 InnerDetector/InDetExample/InDetCosmicRecExample
cmt co -r TrkDetDescrSvc-00-00-06 Tracking/TrkDetDescr/TrkDetDescrSvc
cmt co -r InDetTrackingGeometry-00-06-04 InnerDetector/InDetDetDescr/InDetTrackingGeometry
cmt co -r TrkGeometry-00-05-04 Tracking/TrkDetDescr/TrkGeometry
cd InnerDetector/InDetExample/InDetCosmicRecExample/*/cmt
cmt bro cmt config
. setup.sh

以下のプログラムをコピーしておきます。

fileInDetSoftwareTutorial.tar
cd xxx/11.2.0/InnerDetector/InDetExample
tar xvf xxx/InDetSoftwareTutorial.tar
cd InDetSoftwareTutorial/*/src
vi InDetSoftwareTutorial.cxx

ここで#include "TrkParameters/MeasuredPerigee.h"という文を最初のあたりに加えます。

cd ../cmt
cmt config
. setup.sh
gmake
cd xxx/InnerDetector/InDetExample/InDetCosmicRecExample/*/run

ここで以下のプログラムをコピーします。また読み込むファイルとして適当なものを選択します。

fileInDetCosmicRec_topOptions.py
filedrawResidual.cxx
athena InDetCosmicRec_topOptions.py 2>&1 | tee rec.log
root
.x drawResidual.cxx

Database

From: Shaun Roe <shaun.roe@cern.ch>
Date: 2006年2月13日 22:59:01:JST
To: Takashima Ryuichi <ryuichi@fnal.gov>
Cc: 原 和彦 <hara@hepsg3.px.tsukuba.ac.jp>, "taka.kondo"  
<kondo@post.kek.jp>, Tanaka Reisaburo <tanaka@fphy.hep.okayama- 
u.ac.jp>, Maria Jose COSTA <costamj@mail.cern.ch>, Richard Batley  
<batley@hep.phy.cam.ac.uk>
Subject: Re: Japanese participation to SR1 Cosmic-Ray test
 
Dear Dr. Ryuichi,
following our meeting, I am sending you a proposal for a project  
which might be suitable for one of your students.

Background, Overview:
he database philosophy in Atlas is changing week by week. The  
current leading strategy involves using the COOL database, which  
allows one to retrieve data by interval of validity, with the  
introduction of additional tables using the RAL layer (soon to  
become CORAL).
 
A COOL API already exists for the introduction of data into a  
database and for its extraction in the offline analysis, using the  
IOVDbSvc; however, this needs to be extended to retrieve RAL-table  
data in the offline code. At some point in the near future this all  
needs to be upgraded to use the CORAL API.

Proposed plan:

1) Gather information. e.g. see

ConditionsDB

and the linked presentations.

2) Gain familiarity with the COOL interface. e.g. see

gettingStartedCOOL

3) Gain familiarity with the concerned Athena code; the student  
should be able to run the SCT packages at:

http://atlas-sw.cern.ch/cgi-bin/viewcvs-atlas.cgi/offline/

InnerDetector/InDetConditions/

4) Look at the existing data in the development database with a DB  
browser/SQLPLUS browser (this will probably need my direct help)

5) Modify the existing conditions package to read the new RAL- 
structures. (I have a prototype package which can be used as a  
starting point)


...there is much more, but this is already a lot of useful work. I  
shall be on hand to help, and look forward to working with you.

best regards

shaun roe

つくば作業会

cosmic Meeting @CERN

http://agenda.cern.ch/fullAgenda.php?ida=a057687

http://agenda.cern.ch/fullAgenda.php?ida=a057399

InDetCosmicRec_jobOptions.pyの中身の理解

SR1 でのcosmic Simulation

オフラインソフトウエアの準備状況は以下のwikiページで知ることが出来る。 11.0.1のout of boxで 300イベントhit Fileを作ったつもりだったがrootでEvent_IDを見てみると11イベントしかなかった。hitのEvtMaxは30倍を設定すべし。さらにdigiファイルを作成した。vrmlファイルも作ってみた。

https://twiki.cern.ch/twiki/bin/view/Atlas/InDetCommissioning

https://twiki.cern.ch/twiki/bin/view/Atlas/HowToRunInDetCosmicSimulation

SR1 でのcosmic reconstruction

https://twiki.cern.ch/twiki/bin/view/Atlas/HowToRunInDetCosmicReconstruction

JiveXmlを利用してイベントのxmlファイルを生成した。atlantisがexternalになかった。which atlantisで入るべき場所がわかるので、以下のwikiを利用してインストールした。atlastis として起動して、Fileメニューからイベントを読み、マウスで引っ張って拡大する。Data tubのS3Dはスペースポイント。SSCはなんの略かわからないがDigit. sqliteを使うことも出来る。Hepvisviewerもtrueで図が書けるが、reconstructed Track,Digitを表示できなかった。

https://uimon.cern.ch/twiki/bin/view/Atlas/WorkBookAtlantis

2006/1/30にずれジオメトリーのテストをしようとしたが、イベントループ回らず。sqliteやmysqlのレプリカでは失敗するが、defaultではOK。


トップ   一覧 単語検索 最終更新   ヘルプ   最終更新のRSS